4. Modifiye Fenolik Reçineler
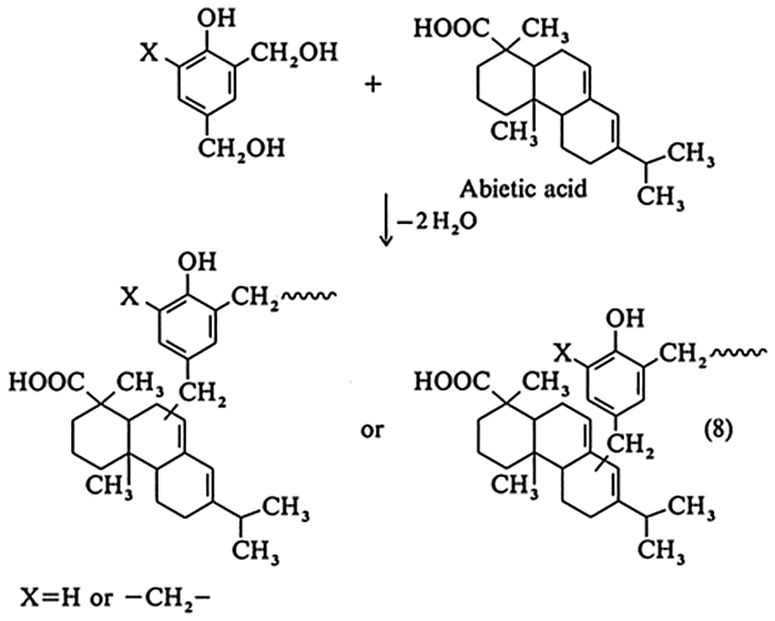
Rosin bir doğal reçinedir. Abietik asit ve onun çift bağlı zomerlerini ana kompanent olarak içerir. Resoller, bu reçinelerin doymamış merkezleri ile reaksiyona girer ve bu reçinenin asitleri polikarboksilik asitlere metilen köprüleri ile dönüşür.
Bu kondensasyon ürünleri, rosin ve fenol-formaldehit reçineleri formu oluturur. Bu da albertol asidi olarak bilinir. Bunlar da fenol ile esterifikasyon yapabilir ve bir tuz oluşturur. Yüksek molekül ağırlıklı ürünler kolayca polar olmayan çözücülerde çözünebilir.
Albertol asitleri aynı zamanda rosinin, fenollerin ve formaldehitin kondensasyonu ile elde edilebilir.
Resoller aynı şekilde benzer reaksiyonları diğer doğal ve sentetik doymamış bileşimlerle verir (mesela büyük moleküllü yağlar, lastikler, polimer yağlar gibi). Sınırlı moleküler ağarlık veya bağlanma böylece kazanılabilir. Benzer bir reaksiyonun olup olmadığı, başlangıç materyalinin oto-kondensasyon miktarından, başka reaksiyon partnerleri ile bileşik kondensasyonuna kadar dönüşebilir. Fenolik reçineler sık sık suda çözünebilen ve alkolde çözünebilen vb. olarak sınıflandırmalara tabi tutulurlar.
Başka kompanentlerle resollerin üretimlinin bir çok yolu vardır:
- Halkalı alkillenmiş fenolleri başlangıç maddesi olarak kullanmak,
- Hidroksimetil gruplarının alkol ile eterifikasyonu ile,
- Doğal reçinelerle resolü tekrar kondanse ederek,
- İlk üç yöntemin çeşitli kombinasyonları ile
Kanaklar:
1. Wolfgang, H., Ullmann’s Encyclopedia of Industrial Chemistry, Phenolic Resins. Wiesbaden. Germany : Wiley VCH, 2004.